Skip to content Skip to sidebar Skip to footer

41 chemical labels should contain

Labeling of Secondary Containers | Occupational Safety and Health ... section 1910.1200 (f) (6) (ii) requires that workplace labeling include "product identifier and words, pictures, symbols, or combination thereof, which provide at least general information regarding the hazards of the chemicals, and which, in conjunction with the other information immediately available to employees under the hazard communication … HazCom 2012: The GHS label requirements - Safety.BLR.com One of the GHS requirements is that chemical manufacturers and importers must provide a label on all shipped hazardous chemical containers that include a signal word, pictogram, hazard statement, and precautionary statement for each hazard class and category. HazCom 2012 includes the following additional major requirements:

Labeling requirements of hazardous chemicals. | Occupational Safety and ... i) Identity of the hazardous chemical (s); ii) Appropriate hazard warnings. Ms. Dietrich's letter indicates that Dr. Dietrich's office is labeling all hazardous chemical containers. As previously stated, original hazardous chemical containers are required to be properly labeled by the chemical manufacturer, distributor, or importer.

Chemical labels should contain

Chemical labels should contain

Chemical Ingredients 101: How to Read a Product Label Toothpaste Ingredients. Sodium bicarbonate, commonly known as baking soda, helps to polish teeth. Sodium fluoride in toothpaste and other dental care items helps prevent cavities. Calcium carbonate, dehydrated silica gels, hydrated aluminum oxides, magnesium carbonate, phosphate salts and silicates aid in the removal of tooth debris and ... 4 Quick Tips to Help You Ace OSHA Secondary Container Labeling The primary container label for a hazardous chemical should always be an OSHA-compliant GHS chemical label and contain all information needed to create a compliant secondary container label. Secondary Container Definition. Once you have transferred a chemical from its original container (in which it arrived from the supplier) to a new one, that ... Chemical Labeling | Environmental Health & Safety All containers of hazardous materials must be labeled with the identity of the hazardous substance The label must contain all applicable hazard warning statements, e.g. flammable, carcinogen, corrosive For commercial materials in the original vendor's container Manufacturer's product labels must remain on all containers, and must not be defaced

Chemical labels should contain. A Guide To Labeling Systems For Chemicals - Chemical labels must include versions of the warning for each language used on the packaging and any instructions. For example, if you package the item with English, Spanish and French instructions, the warning must also be in English, Spanish and French. Labeling Machine Options for Chemical Containers Chemical Labelling Requirements | Environmental Health & Safety ... Requirements for labeling of chemical containers come from the Occupational Safety and Health Administration (OSHA) Hazard Communication and Laboratory Safety standards. All hazardous chemicals are required to be properly labeled (full chemical name) unless they are exempted by this standard. WHMIS 2015 - Labels : OSH Answers Labels will require the following: the pictogram, signal word, and hazard statement are to be grouped together, to be clearly and prominently displayed on the container, to be easy to read (e.g., you can see it easily without using any item except corrective glasses), and to be in contrast with other information on the product or container. PDF Labelling of Workplace Hazardous Chemicals: Code of Practice While this Code applies to hazardous chemicals as defined, it is recommended practice to provide a label for any chemical that is suspected of producing adverse health, safety or environmental effects but has insufficient information generated to allow it to be correctly classified. The label should reflect current state of knowledge.

FDA: Foods Must Contain What Label Says The standards of identity require that products contain the ingredients required by the standard. "In other words," says Roosevelt, "the product is what the label says it is." What a ... Container Labeling | Office of Environmental Health and Safety | ECU Labels of incoming manufactured products or chemicals must contain 6 key elements: Signal Word Pictograms Manufacturer Information Precautionary Statement(s) Hazard Statement(s) Product name or identifiers OSHA requires that labels on incoming containers of hazardous materials must not be removed or defaced until the container is empty and rinsed. Terms to avoid on a hazard label - HSE You should also avoid using statements such as 'safe', 'non-harmful', 'non-toxic', 'non-polluting', 'ecological', 'eco' on the labels of substances or mixtures which have been classified as... PDF HEALTH & SAFETY Chemical Container Labeling Label information must be legible and in plain English. 5 Chemical identity and hazard warning should already be printed on the manufacturer's container. 6 Recommended for best practices, though not required per regulation. 7 Required for chemicals that degrade over time, peroxide formers, and air and water reactives. Chemical Labeling ...

What does the label contain - ECHA The label also contains a "signal word" that indicates the severity of the damage a product may cause: 'Danger' for more severe damage and 'Warning' for less severe. Products containing these labels may cause harm if not handled correctly. Make sure you learn what the labels mean and read the instructions to ensure safe use. Reference Guide to GHS Container Labels | UArizona Research, Innovation ... There are six required sections of a GHS-compliant chemical container label: Product Identifiers GHS Pictograms Signal Words Hazard Statements Precautionary Statements Supplier Identification 1. Product Identifiers The product identifier is most often the common product name of the chemical, and must match the product identifier on the SDS. 3. Identification, Classification and Labelling of Chemicals The label should show the chemical names of substances that are primarily responsible for the hazards. As a general rule a maximum of four chemical names on the label should be sufficient. ... -may contain WHMIS hazard symbols or other pictograms. OTHER REQUIREMENTS: Legibility, durability and size, uniformity of labels and symbols, including ... WHMIS 1988 - Labelling Requirements : OSH Answers A WHMIS label can be a mark, sign, stamp, sticker, seal , ticket, tag or wrapper. It can be attached, imprinted, stencilled or embossed on the controlled product or its container. However, there are two different types that are used most often: the supplier label and the workplace label. Is the content of supplier and workplace labels different?

PPT - Chemical Hygiene Training PowerPoint Presentation - ID:4130121

PPT - Chemical Hygiene Training PowerPoint Presentation - ID:4130121

Chemical Container Labeling | OSHA HCS Labels | Safety Blog Here are some of the key requirements to be aware of: All labels must have pictograms, a signal word, hazard and precautionary statements, the product identifier, and supplier identification. Workplace labels must be provided in English. Other languages should be added to the label if applicable or necessary.

Frederic C. Kaplan, Picture Maker - COLOR PART III  Artists' Pigments. .contents- Blues ...

Frederic C. Kaplan, Picture Maker - COLOR PART III  Artists' Pigments. .contents- Blues ...

GHS Labeling Requirements: The Definitive Guide [2021 Update ... - Luminer However, the GHS takes into consideration that, sometimes, it's not possible to keep workers safe with only these six label requirements, which is why it also allows for supplemental information. 1. Product Identifier This requirement identifies the actual hazardous chemical inside the container.

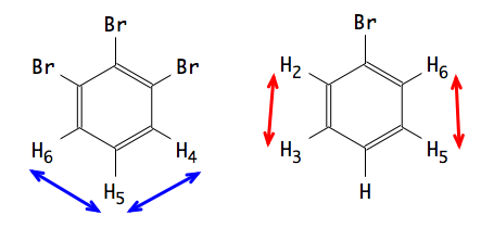
ORGANIC SPECTROSCOPY INTERNATIONAL: Chemical equivalence

ORGANIC SPECTROSCOPY INTERNATIONAL: Chemical equivalence

What are the 6 Elements of a GHS Label? - Computype 1. Product Identifier/Ingredient Disclosure This component of the GHS label is typically placed in the top left-hand corner of the label, and it identifies the hazardous chemical or ingredient that is in this product. It can state the name, code number, or batch number. This allows for the chemical to be confidently identified. 2. Signal Word

Industrial Label Solutions - Custom Labels | Flexo-Graphics

Industrial Label Solutions - Custom Labels | Flexo-Graphics

What Information Must Your Food Label Contain - Jet-Label The label must contain the common name of the product. Apart from the usual branding printed on the label, its common or generally known names must be mentioned. For example, 'milk chocolate' or 'orange juice from concentrate'. The Food and Drug Regulation has a list of common names that you should take a look at.

Chemical Labels - Living Archive

Chemical Labels - Living Archive

Basic HAZCOM Training (One Time Only) Flashcards | Quizlet chemicals which have been determined through experience or laboratory analysis to have lethal effects to humans based on dosage criteria. Each workcenter is responsible for ensuring that hazard warning labels contain all of the following EXCEPT: Label must glow in the dark. Which one of the following is not a route of exposure? Telepathy.

Dense Regular Connective Tissue Labeled - Made By Creative Label

Dense Regular Connective Tissue Labeled - Made By Creative Label

PDF 3.2. Procedures for Proper Labeling, Storage, and Management of Chemicals Manufacturer chemical labels must never be removed or defaced until the chemical is completely used. All chemical and waste containers must be clearly labeled with the full chemical ... should contain a front-edge lip or doors to prevent containers from falling. Flammable and corrosive storage cabinets should be used when possible.

Pool Chemical Storage & How You Should Store It

Pool Chemical Storage & How You Should Store It

PDF US EPA - Label Review Manual - Chapter 5: Ingredient Statement The label reviewer should check OPPIN to determine the accepted common name. "(ANSI)" or a "C" in the TYPE column will be shown with the accepted common name in the Chemical Name list. An additional source for this information on older chemicals is the EPA publication, Acceptable Common Names and Chemical Names for the Ingredient Statement

7 Common Mistakes Concerning Labels For Chemicals - 1stinformationideas.com

7 Common Mistakes Concerning Labels For Chemicals - 1stinformationideas.com

Chemical Container Labels | EHS The label on an original chemical container must be legible and written in English. It must include the chemical/product name as shown on the SDS and the manufacturer's name and address. Do not accept materials if the label is illegible or missing required information. (See example of original label below).

Chemical Labels

Chemical Labels

What Required Information Must GHS Labels Include? - MPC These labels, however, must contain required information and other elements, and they must be easily understood. For instance, all shipped hazardous chemical containers must be labeled with a signal word, pictogram, hazard statement, and a precautionary statement for each hazard class and category.

How to Read and Interpret Chemical Labels - YouTube

How to Read and Interpret Chemical Labels - YouTube

Why Chemical Labels Are So Important -- CS Labels | PRLog Printed labels such as chemical labels are very important as: • They contain information about the chemical. • It is always advisable to look up hazards of a particular chemicals and learn of its safety measures. • Chemical labels can allow the customer to read the instructions and information and decide if they need the product for their ...

Hazardous Chemicals Symbols

Hazardous Chemicals Symbols

Chemical labels must contain a product identifier, signal word and a ... A chemical label is usually attached to the container in which the chemical is present or on the outside packaging box. According to HCS (Hazard Communication Standard), a chemical label must contain: • Contact information • Product Identifier • Signal Word • Hazard Statement • Precautionary Statement • Pictogram Advertisement Survey

How To Read A Chemical Label - Pensandpieces

How To Read A Chemical Label - Pensandpieces

Chemical Labeling | Environmental Health & Safety All containers of hazardous materials must be labeled with the identity of the hazardous substance The label must contain all applicable hazard warning statements, e.g. flammable, carcinogen, corrosive For commercial materials in the original vendor's container Manufacturer's product labels must remain on all containers, and must not be defaced

Chemical Label - YouTube

Chemical Label - YouTube

4 Quick Tips to Help You Ace OSHA Secondary Container Labeling The primary container label for a hazardous chemical should always be an OSHA-compliant GHS chemical label and contain all information needed to create a compliant secondary container label. Secondary Container Definition. Once you have transferred a chemical from its original container (in which it arrived from the supplier) to a new one, that ...

Why You Should be Utilizing Tamper-Evident Labels - NADCO® Tapes & Labels, Inc

Why You Should be Utilizing Tamper-Evident Labels - NADCO® Tapes & Labels, Inc

Chemical Ingredients 101: How to Read a Product Label Toothpaste Ingredients. Sodium bicarbonate, commonly known as baking soda, helps to polish teeth. Sodium fluoride in toothpaste and other dental care items helps prevent cavities. Calcium carbonate, dehydrated silica gels, hydrated aluminum oxides, magnesium carbonate, phosphate salts and silicates aid in the removal of tooth debris and ...

Comply with Global Chemical Labeling Regulations today

Comply with Global Chemical Labeling Regulations today

Hazardous Chemical Labels, Chemical Label Manufacturer, GHS, Hazardous Waste, Hazmat

Hazardous Chemical Labels, Chemical Label Manufacturer, GHS, Hazardous Waste, Hazmat

PPT - LABORATORY INSPECTIONS PowerPoint Presentation, free download - ID:6799989

PPT - LABORATORY INSPECTIONS PowerPoint Presentation, free download - ID:6799989

PPT - General Safety Training at the PowerPoint Presentation, free download - ID:341623

PPT - General Safety Training at the PowerPoint Presentation, free download - ID:341623

Post a Comment for "41 chemical labels should contain"